Hedera – Public Hashgraph Network 🧐🎬
bitcoin·@crypto-n-custard·
0.000 HBDHedera – Public Hashgraph Network 🧐🎬
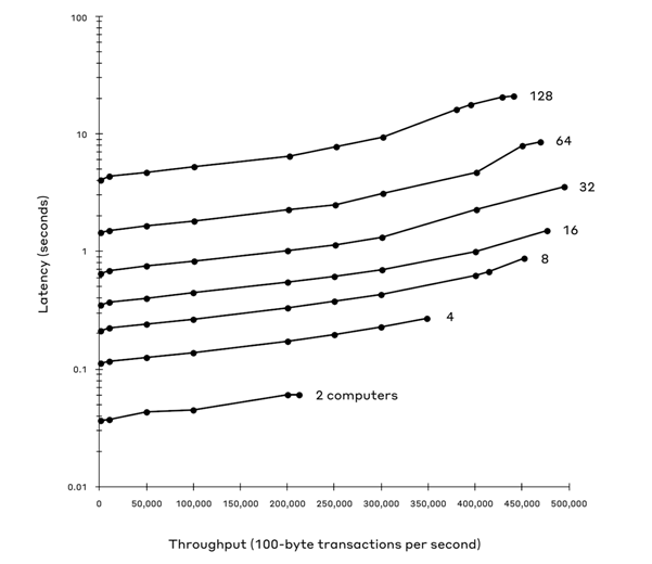
 Hi Steemer... this is a quick summary of the Hedera whitepaper... if you interested in hashgraph you should take a quick read through Summary of whitepaper: They believe that there are 5 fundamental obstacles to distributed ledgers… these are 1) Performance – bitcoin only supports 5-10 transactions a second… they believe that 500,000 per second is required 2) Security – they believe that people are using centralised exchanges because the performance cannot be obtained on chain… if 1 is achieved then all transactions can be on chain improving security (so decentralised exchange) 3) Governance – they want a broad range of market experts from different sectors and different geographies to govern the technology’s direction 4) Stability – with sound governance they believe we will achieve stability i.e. no forks 5) Regulatory compliance – they want to support KYC (know your client) and AML (anti-money laundering) checks i.e. you can reveal your identity at your discretion Hedera is both a company and a distributed ledger… the key component is that it is built on the hashgraph consensus algorithm Hashgraph apparently achieves the gold standard for security i.e. asynchronous Byzantine Fault Tolerance… won’t go into details here but this is supposed to be the most secure you can get The hashgraph algorithm accomplishes being fair, fast, Byzantine, ACID compliant, efficient, inexpensive, timestamped, and DoS resistant. Sounds promising... most of these are security features that the user won't even notice, the transaction speed and volume is the part that will affect the user experience Transactions per second by number of computers  This is a link to the whitepaper if you interested, unfortunately I am not technical enough to know whether all of this is correct. If it is what they say it is... this could potentially be more revolutionary than the blockchain, the tangle and the block lattice... https://s3.amazonaws.com/hedera-hashgraph/hh-whitepaper-v1.0-180313.pdf <br>  <a href="https://www.binance.com/register.html?ref=11592553"><img src="https://steemitimages.com/DQmTonzvfvz1LYafjapqZLtC3WLeceo3TJYdLUusieNu7rH/DQmTjQ8yUXb11cWogfubBL2wWp28wywJLBDR9HjMCGU6wgp_1680x8400.png" title="Binance" alt="Binance"></a>
👍 crypto-n-custard, obaku, freetime, nadinka, raise-me-up, steem.lotto, bliki, angelking, psychocrypto, sj666, tornadoman, isabelpena, dizzyjay, kajalyadav, jasonblack, maharhasan, arun5866, rizkikurniawan, tysonvega, dungeoneersguild, andreasgrubhofer, odonko-ba, ehtisham, ekeminithomas, pacboss, emmanuel293, jamr18, geld-verdienen, carlosrangel, rakibhridoy, covapalm, samiul22, sakurasui, criptoku, gautrucvn, salvat, romankhan368, neven1, gagopro, anmon, kako1, satoshifountain, amane, myatthannwe, towhidhoshin, atharunjum, thespotlight, nayaafrin, dinoaddis77,