Differential Equations: Separable Equations: Example 2 (Notes)
mathematics·@mes·
0.000 HBDDifferential Equations: Separable Equations: Example 2 (Notes)
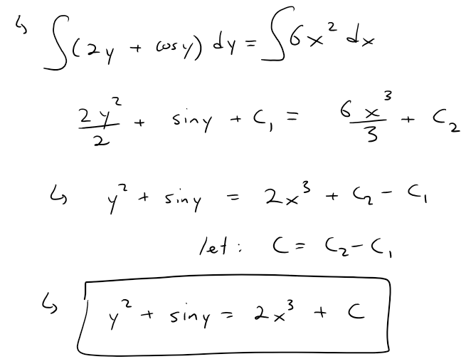
https://youtu.be/jVVTmkfBe48 In this video I go over another example on solving separable equations and this time look at the differential equation: dy/dx = 6x<sup>2</sup>/(2y + cosy). In this particular example, determining the solution explicitly in terms of y as a function of x is actually impossible so the best that we can do is solve it implicitly, that is an equation that contains y and x but no derivatives. But luckily, there are many computer algebra systems and calculators that can still graph solutions to implicit equations. One of them is https://kevinmehall.net/p/equationexplorer/ and I suggest you check it out because it is a very cool and powerful online graphing calculator! --- Watch on DTube: https://d.tube/#!/v/mes/uwoio5dm Watch on BitChute: https://www.bitchute.com/video/WVTbpRp3h8F9/ Watch on YouTube: [https://youtu.be/jVVTmkfBe48](https://youtu.be/jVVTmkfBe48) Download PDF Notes: https://1drv.ms/b/s!As32ynv0LoaIhsoqNJyJEy-6578eRw --- # View Video Notes Below! --- >Download These Notes: Link is in Video Description. >View These Notes as an Article: https://steemit.com/@mes >Subscribe via Email: http://mes.fm/subscribe >Donate! :) https://mes.fm/donate > >Reuse of My Videos: >- Feel free to make use of / re-upload / monetize my videos as long as you provide a link to the original video. > >Fight Back Against Censorship: >- Bookmark sites/channels/accounts and check periodically >- Remember to always archive website pages in case they get deleted/changed. > >Join my private Discord Chat Room: https://mes.fm/chatroom > >Check out my Reddit and Voat Math Forums: >- Reddit: https://reddit.com/r/AMAZINGMathStuff >- Voat: https://voat.co/v/AMAZINGMathStuff > >Buy "Where Did The Towers Go?" by Dr. Judy Wood: https://mes.fm/judywoodbook >Follow My #FreeEnergy Video Series: https://mes.fm/freeenergy-playlist >Watch my #AntiGravity Video Series: https://mes.fm/antigravity-playlist >Follow My #MESExperiments Video Series: https://mes.fm/experiments-playlist> > >--- > >NOTE: If you don't have time to watch this whole video: > >- Skip to the end for Summary and Conclusions (If Available) >- Play this video at a faster speed. >-- TOP SECRET LIFE HACK: Your brain gets used to faster speed. (#Try2xSpeed) >-- Try 4X+ Speed by Browser Extensions, HookTube.com, Modifying Source Code. >-- **Browser Extension Recommendation: https://mes.fm/videospeed-extension** >- Download and Read Notes. >- Read notes on Steemit #GetOnSteem >- Watch the video in parts. --- # Differential Equations: Separable Equations: Example 2 **Example:** Solve the differential equation:  --- **Solution**  This equation gives the general solution implicitly. In fact, it's impossible to solve this equation to express y explicitly as a function of x. Some computer algebra systems can plot curves defined by implicit equations. The graph below shows several solutions, corresponding to different values of the constant C.  Graph produced from: https://kevinmehall.net/p/equationexplorer/