Integrals and Average Value: Example 1
mathematics·@mes·
0.000 HBDIntegrals and Average Value: Example 1
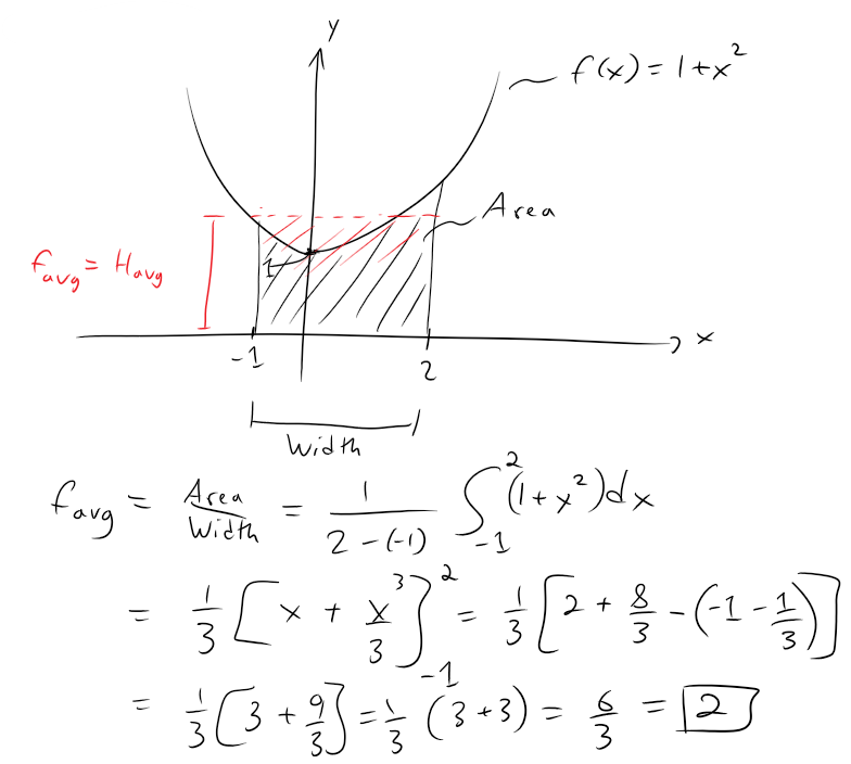
https://youtu.be/Ps1IPP4O_Lo In this video I go over an example on solving for the average value of a function and solve the average value of the function y = 1 + x<sup>2</sup> from x = - 1 and x = 2. --- Watch Video On: - DTube: [https://d.tube/#!/v/mes/9fl8o0x2sv5](https://d.tube/#!/v/mes/9fl8o0x2sv5) - BitChute: [https://www.bitchute.com/video/wU0x5sed9mdy/](https://www.bitchute.com/video/wU0x5sed9mdy/) - YouTube: [https://youtu.be/Ps1IPP4O_Lo](https://youtu.be/Ps1IPP4O_Lo) Download Video Notes: http://1drv.ms/1BSQsf3 --- # View Video Notes Below! --- >Download These Notes: Link is in Video Description. >View These Notes as an Article: https://steemit.com/@mes >Subscribe via Email: http://mes.fm/subscribe >Donate! :) https://mes.fm/donate > >Reuse of My Videos: >- Feel free to make use of / re-upload / monetize my videos as long as you provide a link to the original video. > >Fight Back Against Censorship: >- Bookmark sites/channels/accounts and check periodically >- Remember to always archive website pages in case they get deleted/changed. > >Join my private Discord Chat Room: https://mes.fm/chatroom > >Check out my Reddit and Voat Math Forums: >- Reddit: https://reddit.com/r/AMAZINGMathStuff >- Voat: https://voat.co/v/AMAZINGMathStuff > >Buy "Where Did The Towers Go?" by Dr. Judy Wood: https://mes.fm/judywoodbook >Follow along my epic video series: >- #MESScience: https://mes.fm/science-playlist >- #MESExperiments: https://steemit.com/mesexperiments/@mes/list >- #AntiGravity: https://steemit.com/antigravity/@mes/series >-- See Part 6 for my Self Appointed PhD and #MESDuality Breakthrough Concept! >- #FreeEnergy: https://mes.fm/freeenergy-playlist > >--- > >NOTE #1: If you don't have time to watch this whole video: > >- Skip to the end for Summary and Conclusions (If Available) >- Play this video at a faster speed. >-- TOP SECRET LIFE HACK: Your brain gets used to faster speed. (#Try2xSpeed) >-- Try 4X+ Speed by Browser Extensions or Modifying Source Code. >-- **Browser Extension Recommendation: https://mes.fm/videospeed-extension** >-- See my tutorial to learn more: https://steemit.com/video/@mes/play-videos-at-faster-or-slower-speeds-on-any-website >- Download and Read Notes. >- Read notes on Steemit #GetOnSteem >- Watch the video in parts. > >NOTE #2: If video volume is too low at any part of the video: > >- Download this Browser Extension Recommendation: https://mes.fm/volume-extension --- # Integrals and Average Value: Example 1  **Example:** Find the average value of the function f(x) = 1 + x<sup>2</sup> on the interval [-1, 2]. **Solution:** 
👍 tonimontana, stemd, limka, nin4i, hdu, apoloo1, edkarnie, imisstheoldkanye, ezravandi, laissez-faire, ralph-rennoldson, accelerator, franklinjgc, lamorena, bert0, iamnotsocial, onecent, maxuvc, maxuve, stemisaria, maxuvd, miti.stem, thebilpcointrain, bilpcoin.pay, map10k, rycharde, mapxv, jagsarathore, partitura.stem, f1assistance, abh12345.stem, onespringday, tute, yggdrasil.laguna, mes, teacherspet, curie, diana.catherine, sustainablyyours, chris4210, iansart, cryptononymous, tommyl33, velourex, techken, allcapsonezero, adalger, ppss, giovaabbatichio, rambutan.art, drmake, juli1, wstanley226, herculean, neumannsalva, jlsplatts, slobberchops, steemjet, gpcx86, chrisluke, gmedley, creativecrypto, goblinknackers, blueorgy, zipporah, iamjadeline, bflanagin, alaqrab, moisesmcardona, dacx, edu-venezuela, xerxes.alpha, eztechwin, roseri, thevillan, holoz0r, the.success.club, didic, decentral, mahdiyari, itchyfeetdonica, evanpetzer, jayna, raymondspeaks, stahlberg, hijosdelhombre, pulleyhead, epicdice, bastter, steemegg, travisung, yourtop3, yaelg, qberry, musicvoter, ilovecryptopl, steemlondon, vact, jagged, venalbe, zerotoone, sndbox, dechastre, bilpcoinrecords, arnel, musicvoter2, chickenmeat, locikll, shoemanchu, louis88, schroders, torico, minnowpowerup, lillywilton, pechichemena, kenadis, bscrypto, n32mente, begood2me, revo, anwenbaumeister, johnquake, robmolecule, khan.dayyanz, deeanndmathews, hendrikdegrote, bitrocker2020, kylealex, djennyfloro, aboutyourbiz, sugarsugar, chipdip, hairgistix, tombstone, nutman, ideas-abstractas, lordjames, blewitt, javier.dejuan, ambyr00, brendanweinhold, movingman, thetyper, punchline, steemwizards, notb4mycoffee, hanshotfirst, theregularguy, jimshorts, nerdnews, vera-vaders-ea, karaoke1850, silverwhale, hanzappedfirst, weirdnews, kylo-ren, hanshotfirst-sm, calypso, brahma, steemship, lordvader, techslut, dr-boo, bestwhale, sagesigma, tipsybosphorus, tinabrezpike, beerbloke, madefrance, felt.buzz, bluefinstudios, sanderjansenart, hiddendragon, rival, roamingsparrow, indigoocean, lusce, peaceandwar, cryptastic, mraggaj, wackou, buttcoins, dearw, bitcoinportugal, cryptofuwealth, longer, goodcontentbot, sumotori, thetechspot, poppie-schultz, steemed-proxy, jiujitsu, danaedwards, shinedojo, mammasitta, massivevibration, steem.consultant, eric-boucher, nicole-st, yomismosoy, deisip67, hhtb, kafupraise, lk666, ivan-g, wishmaiden, oghie, atheistrepublic, steemiteducation, aceaeterna, azizbd, bigbear, schoolforsdg4, affiedalfayed, masterwu, alvinauh, misterbob, blue-pencil, sandracabrera, ejlo3310, broncofan99, alanasteemit, ecodesigns, womenempowerment, socialbot, sweetpea, socialbot.pay, giantbear, ghostgtr, afifa, steveblucher, mashiliyanage, oscarcede, guada1, apteacher, theouterlight,