L'Hospital's Rule - Indeterminate Differences
hive-128780·@mes·
0.000 HBDL'Hospital's Rule - Indeterminate Differences
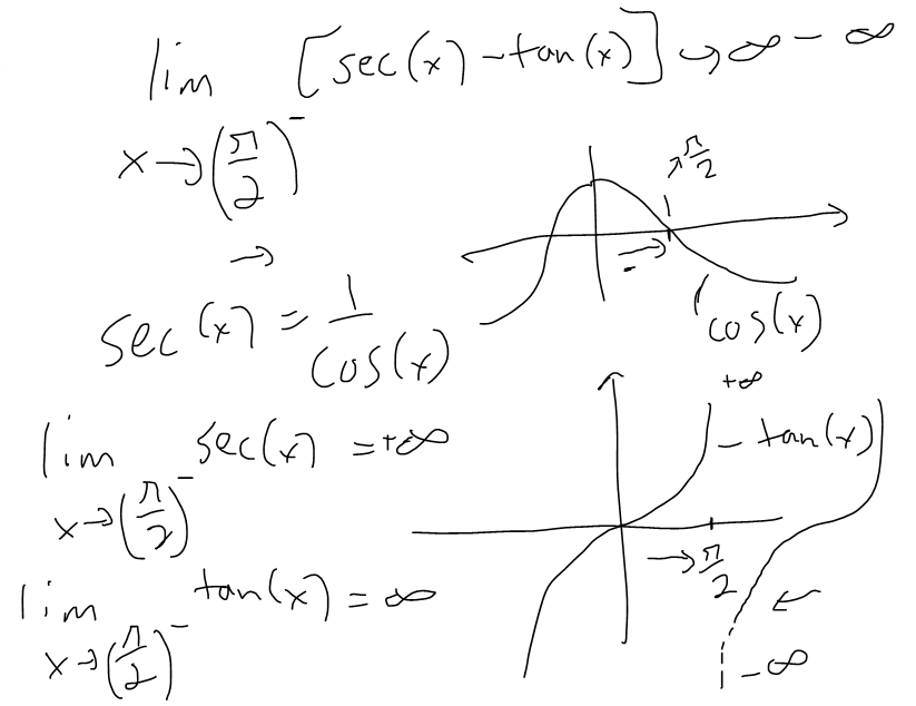
https://youtu.be/FNj2EE8hEVs In this video I go further into L'Hospital's Rule and show that you can easily re-arrange indeterminate differences to get them in the form of an indeterminate quotient so that you can apply L'Hospital's Rule to determine the limit. --- Watch video on: - 3Speak: []() - Odysee: [https://odysee.com/@mes:8/l-hospital-s-rule-indeterminate:a](https://odysee.com/@mes:8/l-hospital-s-rule-indeterminate:a) - BitChute: [https://www.bitchute.com/video/MJvMVWpX4zgg/](https://www.bitchute.com/video/MJvMVWpX4zgg/) - Rumble: []() - DTube: [https://d.tube/#!/v/mes/i44lmkz42a2](https://d.tube/#!/v/mes/i44lmkz42a2) - YouTube: [https://youtu.be/FNj2EE8hEVs](https://youtu.be/FNj2EE8hEVs) Download video notes: https://1drv.ms/b/s!As32ynv0LoaIibZDcXng7jk_j-HCqg?e=78KTQD --- # View Video Notes Below! --- >Download these notes: Link is in video description. >View these notes as an article: https://peakd.com/@mes >Subscribe via email: http://mes.fm/subscribe >Donate! :) https://mes.fm/donate >Buy MES merchandise! https://mes.fm/store >More links: https://linktr.ee/matheasy >**Follow my research in real-time on my MES Links Telegram:** https://t.me/meslinks >Subscribe to MES Truth: https://mes.fm/truth > >Reuse of my videos: >- Feel free to make use of / re-upload / monetize my videos as long as you provide a link to the original video. > >Fight back against censorship: >- Bookmark sites/channels/accounts and check periodically >- Remember to always archive website pages in case they get deleted/changed. > >Recommended Books: >- "Where Did the Towers Go?" by Dr. Judy Wood: https://mes.fm/judywoodbook > >Join my forums! >- Hive community: https://peakd.com/c/hive-128780 >- Reddit: https://reddit.com/r/AMAZINGMathStuff >- Discord: https://mes.fm/chatroom > >Follow along my epic video series: >- #MESScience: https://mes.fm/science-playlist >- #MESExperiments: https://peakd.com/mesexperiments/@mes/list >- #AntiGravity: https://peakd.com/antigravity/@mes/series >-- See Part 6 for my Self Appointed PhD and #MESDuality breakthrough concept! >- #FreeEnergy: https://mes.fm/freeenergy-playlist >- #PG (YouTube-deleted series): https://peakd.com/pg/@mes/videos > >--- > >NOTE #1: If you don't have time to watch this whole video: > >- Skip to the end for Summary and Conclusions (if available) >- Play this video at a faster speed. >-- TOP SECRET LIFE HACK: Your brain gets used to faster speed! >-- MES tutorial: https://peakd.com/video/@mes/play-videos-at-faster-or-slower-speeds-on-any-website >- Download and read video notes. >- Read notes on the Hive blockchain #Hive >- Watch the video in parts. >-- Timestamps of all parts are in the description. > >Browser extension recommendations: > >- Increase video speed: https://mes.fm/videospeed-extension >- Increase video audio: https://mes.fm/volume-extension >- Text to speech: https://mes.fm/speech-extension >--Android app: https://mes.fm/speech-android --- # L’Hospital’s Rule – Indeterminant Differences:  # Indeterminant Differences: ∞ - ∞  # Recap on L'Hospital's Rule   # Strategy for Indeterminant Differences Can re-arrange indeterminant differences by factoring or multiplying by the common denominator, etc., to get an indeterminant quotient (0/0, ∞/∞). From which, we can apply L'Hospital's Rule. ## Example    
👍 stemcur, voter, eturnerx, fatman, stemisaria, quinnertronics, jerrybanfield, davidlionfish, valued-customer, peerfinance, mes, maciejficek, holovision.stem, sbi4, limka, yggdrasil.laguna, abh12345.stem, adamada.stem, juecoree.stem, solominer.stem, slider2990, dorkpower, babytarazkp, meestemboom, sillybilly, waivio.welcome, k5905200786, dineandwine, waivio.com, theouterlight, titusfrost, diodao,