Three Prisoners Problem
hive-128780·@mes·
0.000 HBDThree Prisoners Problem
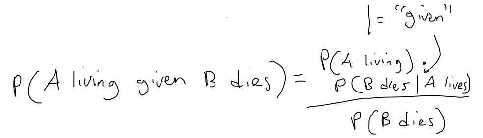
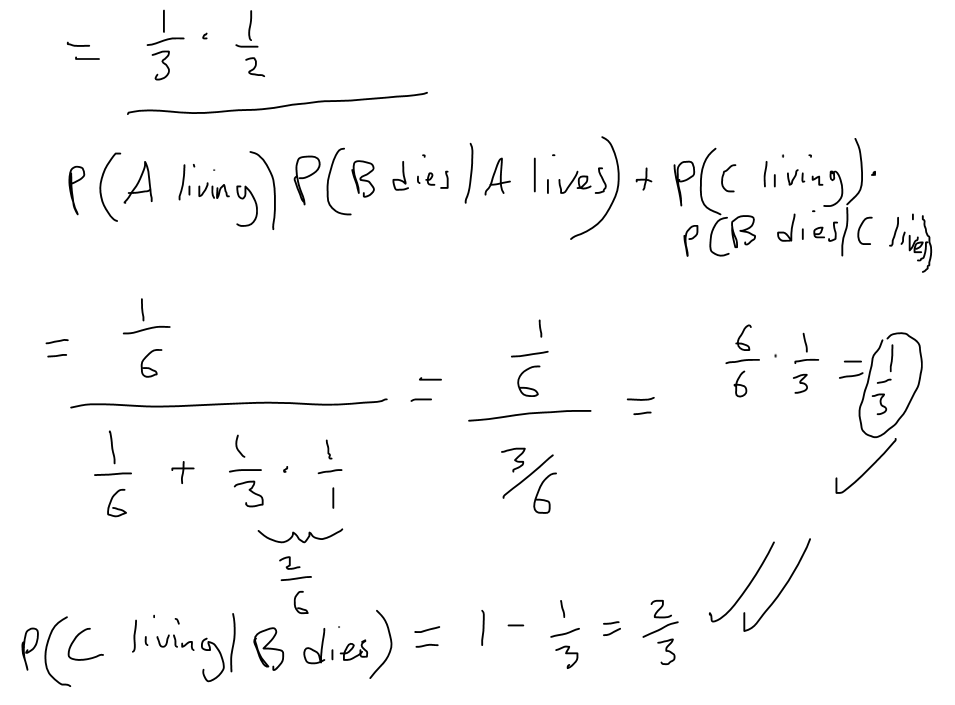
https://youtu.be/8vY66MD7nsM In this video I go over the Three Prisoners Problem after first seeing it on Vsauce's "Some Surprising Things" video ([http://youtu.be/_Oc9tKkH7WE?t=2m34s](http://youtu.be/_Oc9tKkH7WE?t=2m34s)). Basically this puzzle is similar to the Monty Hall's Three Doors problem and shows an example of counter intuitive logic. This puzzle first appeared in Martin Gardner's "Mathematical Games" column in Scientific American magazine in 1959 and still remains as a great counter intuitive puzzle. I prove this in several ways including a probability tree as well as a more formal proof using Bayes' Theorem. --- Watch Video On: - DTube: [https://d.tube/#!/v/mes/QmcLbroMuFtMtShcN8ec75nRZVJ2bvkBarztb4qNuxoMRD](https://d.tube/#!/v/mes/QmcLbroMuFtMtShcN8ec75nRZVJ2bvkBarztb4qNuxoMRD) - BitChute: [https://www.bitchute.com/video/hfIKt3Q2oIFu/](https://www.bitchute.com/video/hfIKt3Q2oIFu/) - YouTube: [https://youtu.be/8vY66MD7nsM](https://youtu.be/8vY66MD7nsM) Download Video Notes: https://1drv.ms/b/s!As32ynv0LoaIg5pIYyacK-ntkQPy-g?e=aVNGxG --- # View Video Notes Below! --- >Download these notes: Link is in video description. >View these notes as an article: https://steemit.com/@mes >Subscribe via email: http://mes.fm/subscribe >Donate! :) https://mes.fm/donate > >Reuse of my videos: >- Feel free to make use of / re-upload / monetize my videos as long as you provide a link to the original video. > >Fight back against censorship: >- Bookmark sites/channels/accounts and check periodically >- Remember to always archive website pages in case they get deleted/changed. > >Join my private Discord chat room: https://mes.fm/chatroom > >Check out my Reddit and Voat math forums: >- Reddit: https://reddit.com/r/AMAZINGMathStuff >- Voat: https://voat.co/v/AMAZINGMathStuff > >Buy "Where Did The Towers Go?" by Dr. Judy Wood: https://mes.fm/judywoodbook >Follow along my epic video series: >- #MESScience: https://mes.fm/science-playlist >- #MESExperiments: https://steemit.com/mesexperiments/@mes/list >- #AntiGravity: https://steemit.com/antigravity/@mes/series >-- See Part 6 for my Self Appointed PhD and #MESDuality breakthrough concept! >- #FreeEnergy: https://mes.fm/freeenergy-playlist > >--- > >NOTE #1: If you don't have time to watch this whole video: > >- Skip to the end for Summary and Conclusions (if available) >- Play this video at a faster speed. >-- TOP SECRET LIFE HACK: Your brain gets used to faster speed. (#Try2xSpeed) >-- Try 4X+ speed by browser extensions or modifying source code. >-- **Browser extension recommendation: https://mes.fm/videospeed-extension** >-- See my tutorial to learn more: https://steemit.com/video/@mes/play-videos-at-faster-or-slower-speeds-on-any-website >- Download and read video notes. >- Read notes on Steem blockchain #GetOnSteem >- Watch the video in parts. > >NOTE #2: If video volume is too low at any part of the video: > >- Download this browser extension recommendation: https://mes.fm/volume-extension --- # Three Prisoners Problem  I saw this from Vsauce’s “Some Surprising Things” video but he didn’t explain it that well. This problem appeared in Martin Gardner’s “Mathematical Games” column in Scientific American magazine in 1959. ## The Puzzle - There are 3 prisoners (A, B, and C) sentenced to death. - The governor has selected one of them to be randomly pardoned. - The guard knows which one is to be pardoned but cannot tell who. - Prisoner A begs the guard to tell him whether B or C will die. - The guard tells him that B dies. - A thinks his probability of surviving went up from 1/3 to ½ because it is now between him and C. - Prisoner A tells C but C reasons that A still has a 1/3 of surviving but C’s chances have gone up to 2/3. - Who is right?? In fact Prisoner C is right! ### Solution - Prisoner A gains no knowledge about himself because he already knows that either B or C will die so his odds of living stay the same which is 1/3. - Prisoner C odds increase because if Prisoner A odds stay the same then his must be 1 – 1/3 = 2/3 (i.e. the odds need to add up to 100% and B is out of the equation). - Consider the Odds Tree:  If Guard tells A that B dies then we are left with only 2 scenarios. C has now doubled his odds of living vs. A.   This can be mathematically explained by Bayes’ Theorem. (I will prove this in later videos)  
👍 investingpennies, tonimontana, limka, nin4i, safwadidi, edkarnie, stemisaria, jerrybanfield, lockout, btcfreeforall001, yehey, shares, f1assistance, da-dawn, abh12345.stem, yggdrasil.laguna, teacherspet, curie, drifter1, diana.catherine, federacion45, bitrocker2020, allcapsonezero, ilovecryptopl, justtryme90, sitaru, dokter-purnama, reizak, bil.prag, goblinknackers, hairgistix, jagged, healthexpert, freetissues, filosof103, jesse5th, postpromoter, drmake, tajstar, juli1, wstanley226, suasteguimichel, andiblok, cerd26, herculean, pulleyhead, chrisluke, doggy5, bestbuds, freesignup, ragingboner, curpal, aboutyourbiz, norwegianbikeman, crystalhuman, iamjadeline, stayoutoftherz, dashfit, epicdice, steemiteducation, pvinny69, edu-venezuela, laissez-faire, jlsplatts, bigbear, vact, roseri, tngflx, masterwu, misterbob, sandracabrera, ejlo3310, bscrypto, aceaeterna, ecodesigns, azizbd, schoolforsdg4, locikll, affiedalfayed, alvinauh, blue-pencil, qberry, broncofan99, alanasteemit, bluemaskman, begood2me, waltermeth, gotgame, dechastre, stahlberg, womenempowerment, socialbot, cheese4ead, matt-a, decentral, alaqrab, gregan, creativecrypto, hansmast, zipporah, vittoriozuccala, misia1979, yaelg, trichomes, anwenbaumeister, djennyfloro, hendrikdegrote, derekvonzarovich, tazbaz, stuffbyspencer, soufianechakrouf, misan, tombstone, primersion, ppss, joshmania, mahdiyari, techken, rambutan.art, outtheshellvlog, palasatenea, kibela, redcube, hijosdelhombre, operahoser, a0i, hashkings, skycae, travisung, traveler-hwi, venalbe, dronegraphica, chris4210, bloom, jk6276, srijana-gurung, tommyl33, reverseacid, nutman, shaunmza, gravii4, stickchumpion, saboin, steemjet, musicvoter2, roamingsparrow, gmedley, javier.dejuan, khan.dayyanz, breakout101, arnel, sankysanket18, c0wtschpotato, slobberchops, lordjames, musicvoter, reghunter, zerotoone, pechichemena, gordon92, didic, the.success.club, chickenmeat, solarphasing, gabrielatravels, lillywilton, call-me-howie, orthodoxnudism, foreveraverage, onemedia, neneandy, minimining, bilpcoinrecords, driptorchpress, kenadis, bflanagin, deeanndmathews, blueorgy, randomblock1, braveboat, nehomar, sndbox, minnowpowerup, dacx, positiveninja, kylealex, hansikhouse, torico, foxyspirit, twotoedsloth, voronoi, neumannsalva, cryptononymous, double-negative, shimozurdo, sc-steemit, ambyr00, notagenius, majes.tytyty, punchline, robibasa, hanshotfirst, theregularguy, steemwizards, jimshorts, nerdnews, vera-vaders-ea, karaoke1850, notb4mycoffee, silverwhale, hanzappedfirst, weirdnews, kylo-ren, hanshotfirst-sm, techslut, calypso, brahma, steemship, beerbloke, lordvader, ibt-survival, saleg25, stevethevagabond, steemchali, bestwhale, sanderjansenart, superledger, sagesigma, tinabrezpike, bitcoingodmode, charlie777pt, felt.buzz, twoitguys, bluefinstudios, titan-c, sweetpea, divinekids, rival, lextenebris, arm27312, lusce, zeasar, olusolaemmanuel, peaceandwar, cleiver, fatkat, sqljoker, prapanth, buttcoins, alvin0617, sunisa, dearw, macoolette, longer, goodcontentbot, sallhiddles, poppie-schultz, bitcoinportugal, lestrange, thetechspot, sumotori, cryptofuwealth, celine-robichaud, shinedojo, jiujitsu, danaedwards, knightbjj, steemed-proxy, mammasitta, spanishwhale, massivevibration, steem.consultant, cherryandberry, giantbear, ghostgtr, afifa, steveblucher, mashiliyanage, eric-boucher, supriya1993, nicole-st, esthersanchez, yomismosoy, deisip67, kafupraise, hhtb, badfatcat, rajib2k5, chrisdavidphoto, flatman, orlandogonzalez, oghie, lk666, yashshah991, faithfullwills, oscarcede, apteacher, guada1, hanyseek, cyprianj, felixxx, markko, skorup87, steemitboard, zorg67, mes, tute, storysharing, maciejficek,