28-10-2025 - Mechanical Systems - Financial Mathematics [EN]-[IT]
hive-146620·@stefano.massari·
0.000 HBD28-10-2025 - Mechanical Systems - Financial Mathematics [EN]-[IT]
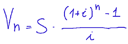
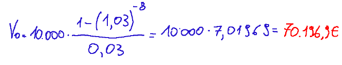
 --- *~~~ La versione in italiano inizia subito dopo la versione in inglese ~~~* --- **ENGLISH** https://images.ecency.com/DQmNuqRpdWgTaWvjwbmaVWSemm13V7viV9jyRyVFHiMSbYA/optimized_image_1_.jpeg **28-10-2025 - Mechanical Systems - Financial Mathematics [EN]-[IT]** With this post, I would like to provide a brief instruction on the topic mentioned above. (lesson/article code: EX_LZ_08)  *Image created with artificial intelligence, the software used is Microsoft Copilot* **Introduction**  *Image created with artificial intelligence, the software used is Napkin.ai* Financial mathematics is a discipline that applies mathematical tools to analyze and solve problems related to finance. Essentially, it is a branch of applied mathematics that intersects with economics, statistics, and management engineering. Financial mathematics is used to: -Evaluate investments and economic projects -Calculate simple and compound interest -Determine the present and future value of cash flows -Analyze depreciation, annuities, loans, bonds, and derivatives -Optimize financial decisions under conditions of risk and uncertainty **Time Value of Money** Financial mathematics introduces the time value of money, and the basic idea is that a euro today is worth more than a euro tomorrow (the postulate of consumption time preference). **Exercise** Let's now try the following exercise: Given the possibility of investing an annual savings quota of €10,000 for a presumed period of 8 years and with an active interest rate of 3%, I ask myself what amount of money will I have at my disposal at the end of the period considered. And what is its present value? **Data** Annual installment S = €10,000 Years n = 8 Interest rate i = 3% = 0.03 **Development** **Future value (at the end of the 8th year)** To calculate the Future Value at the end of the 8th year, we use the following formula:  Where: Vn = future value at the end of the nth period, i.e., the amount available at the end. S = periodic installment/payment i = interest rate in decimal form n = number of periods or payments At this point, we replace the terms of the formula with the data from the exercise.  **Present value of the same annuity** Let's take the deferred annuity formula:  Now let's apply the data to the terms of the formula. of the exercise  **Result** The future value (at the end of the 8th year) will be **€88,923.36** The present value of the same annuity is **€70,196.92** ***Conclusions*** Financial mathematics studies models and methods for evaluating investments. It is useful for assessing the economic viability of industrial investments, for managing projects with cost-benefit analyses, and for understanding how markets and businesses work. ***Question*** Did you know that the Babylonians, in 1700 BC? Did they already calculate compound interest? Did you know that the Greeks and even the Romans used rudimentary forms of financial calculation for loans and trade? Did you know that Leonardo Fibonacci (1170–1250), an Italian mathematician famous for the highly popular Fibonacci sequence, introduced the concept of commercial arithmetic and the calculation of interest? Did you know that Edmond Halley (1656–1742), an English astronomer and mathematician, famous for the comet, created mortality tables used in insurance and pensions. --- https://images.hive.blog/1536x0/https://files.peakd.com/file/peakd-hive/green77/gGQutTRs-hive-spacer.png --- **ITALIAN** https://images.ecency.com/DQmQ25zcp9Mna5r5gtLp786kVkVUpkVnQwgG7oWuMo88d7P/optimized_image.jpeg **28-10-2025 - Impianti meccanici - Matematica finanziaria [EN]-[IT]** Con questo post vorrei dare una breve istruzione a riguardo dell’argomento citato in oggetto (codice lezione/articolo: EX_LZ_08)  *immagine creata con l’intelligenza artificiale, il software usato è Microsoft Copilot* **Introduzione**  *immagine creata con l’intelligenza artificiale, il software usato è Napkin.ai* La matematica finanziaria è una disciplina che applica strumenti matematici per analizzare e risolvere problemi legati alla finanza. Sostanzialmente è una branca della matematica applicata che si incontra con l’economia, con la statistica e l’ingegneria gestionale. La matematica finanziaria serve per: -Valutare investimenti e progetti economici -Calcolare interessi semplici e composti -Determinare il valore attuale e futuro di flussi di cassa -Analizzare ammortamenti, rendite, prestiti, obbligazioni e strumenti derivati -Ottimizzare decisioni finanziarie in condizioni di rischio e incertezza **Valore temporale del denaro** La matematica finanziaria introduce il valore temporale del denaro e l’idea di base è che un euro oggi vale più di un euro domani (postulato della preferenza temporale del consumo). **Esercizio** Proviamo ora a svolgere il seguente esercizio: Potendo investire una quota annua di risparmi pari a 10.000 €, per un periodo presunto di 8 anni e con un tasso di interesse attivo del 3%, mi chiedo quale sarà la cifra di cui potrò disporre alla fine del periodo considerato. E qual è il suo valore attuale? **Dati** Rata annua S = 10.000 € Anni n= 8 tasso i =3%=0,03 **Sviluppo** **Valore futuro (alla fine dell’8° anno)** Per calcolare il Valore futuro alla fine dell’8 anno ci appoggiamo alla seguente formula  Dove: Vn = valore futuro alla fine del n-esimo periodo, ovvero la somma disponibile al termine. S = rata/versamento periodico i=tasso di interesse in forma decimale n=numero dei periodi o versamenti A questo punto andiamo a sostituire i termini della formula con i dati dell’esercizio.  **Valore attuale della stessa rendita** Prendiamo la formula della rendita posticipata:  Ora applichiamo ai termini della formula i dati dell’esercizio  **Risultato** Il valore futuro (alla fine dell’8° anno) sarà **88.923,36 €** Il valore attuale della stessa rendita è **70.196,92 €** ***Conclusioni*** La matematica finanziaria studia modelli e metodi per valutare investimenti. Essa è utile per valutare la convenienza economica di investimenti industriali, per gestire progetti con analisi costi-benefici e per comprendere bene il funzionamento dei mercati e delle imprese. ***Domanda*** Sapevate che i babilonesi, nel 1700 a.C. calcolavano già gli interessi composti? Sapevate che i greci ed anche i romani usavano forme rudimentali del calcolo finanziario per prestiti e commerci? Sapevate che Leonardo Fibonacci (1170–1250), matematico italiano famoso per la popolarissima successione di Fibonacci, introdusse il concetto di aritmetica commerciale e calcolo degli interessi? Sapevate che Edmond Halley (1656–1742), astronomo e matematico inglese, popolarissimo per la cometa, ha creato tavole di mortalità usate in assicurazioni e pensioni. **THE END**
👍 pab.ink, makeitreal95, dexpartacus, vimukthi, blumela, healthymary, hardrockcrypto, hive.pizza, grocko, fireguardian, ravenmus1c, adamada, veryanprime, hivetrending, dadspardan, huzzah, pizzabot, nane-qts, epicur0, alohaed, incantia, prosocialise, dutchchemist, joeyarnoldvn, jazzhero, sgbonus, pjansen.ctp, marianaemilia, shaidon, gabrielrr17, anjanida, brucolac, brando28, adulruna, emd012, hkinuvaime, kojiri, lobaobh, lucasqz, highfist, genepoolchlrn8r, flowtrader, stefanialexis, gomster, bastter, goliathus, hive-world, carlosro, qyses, jpleron, garlet, libertycrypto27, sportgamer, libertypal27, steveguereschi, cryptomonica, kappa9, nainaztengra, ilcontabile, libertypob27, nftfrappe, odb-contest, spurisna, sweetunicorn, clifth, theshot2414, day1001, slothlydoesit, slothbuzz, pensieristupendi, letusbuyhive, skiptvads, k4rl4, hivelist, ganjafarmer, slothburn, bulliontool, grapthar, stea90, lorenzopistolesi, irivers, abilitysend, fedesox, davideownzall, conchita0806, vascaino, azaleia, avel692, brucutu, ronaldoavelino, ronavel, extrarice, carcio84, angeluxx, smartvote, mrdani12, holovision.stem, lupega, delilhavores, discovery-it, waivio.curator, travelnepal, spiceboyz, gianluccio, ciuoto, carolineschell, marcolino76, straykat, alequandro, piumadoro, mad-runner, sbarandelli, a0i, vittoriozuccala, spaghettiscience, phage93, cooltivar, idayrus, nattybongo, coccodema, jessica.steem, middleearth, adinapoli, lallo, titti, stregamorgana, yanezdegomera, meeplecomposer, tinyhousecryptos, maruskina, victoriaxl, omodei, capitanonema, damaskinus, marcellasunset, discovery-blog, riccc96, hjmarseille, jennyzer, ghastlygames, peterpanpan, meppij, matteus57, bindalove, barbyjr, yggdrasilwind, eolinde, krrizjos18, maridmc, farmingtales, franvenezuela, jrjaime, larissalugo, tonmarinduque, arc7icwolf, cryptogillone, digy, lyamalfonzo23, yzamazing, blip-blop, iamscinttwister, melcakes, ghilvar, sararossi, marcelloracconti, dandelion24, katiekate86, blueoctopus, armandosodano, dannewton, sunisa, axel-blaze, jlsplatts, denisda, kharrazi, inmyframe, simgirl, quiubi, flewsplash, andre.btc, cumanauta, ismigue, jazlove, carrinm, restaurador, anutta, joseluis91, moraviareosa, balaenoptera,